In the world of modern marketing, Customer Lifetime Value (CLV) is a cornerstone metric that helps businesses understand the total worth of a customer over the entire duration of their relationship with the brand.
It goes beyond one-time purchases and examines the long-term revenue potential each client represents.
In this article, we’ll explore what CLV means, why it matters, and how to perform an accurate customer lifetime value calculation—including an easy-to-use customer lifetime value formula.
Table of Contents
Why Is Customer Lifetime Value Important?
By measuring the life time value of customers, companies can make informed decisions about how much to invest in marketing, sales, product development, and customer service.
If you know that a client is likely to be worth a certain amount of revenue over time, you can adjust your budget for acquisition and retention campaigns accordingly.
Ultimately, focusing on customer lifecycle value fosters a more loyal customer base and improves long-term profitability.
Key Benefits of Tracking Customer Lifetime Value
- Better Budget Allocation: Pinpointing client lifetime value lets you see which customer segments bring the most revenue, so you can channel resources effectively.
- Optimized Marketing Strategies: When you understand your customer lifetime, you can tailor your messaging and promotions to encourage repeat purchases, reduce churn, and increase overall loyalty.
- Improved Product Development: Knowing the customer lifetime value equation helps you recognize which products or services resonate most with high-value customers.
Understanding the Different Approaches to CLV
There are several ways to approach lifetime value calculation, ranging from simple to complex.
At its core, a lifetime value formula looks at average order value, purchase frequency, retention rate, and profit margins.
More advanced models might incorporate data on customer acquisition costs, churn forecasts, and segment-specific behavior patterns.
Basic vs. Advanced Calculations
- Basic Calculation: A straightforward CLV formula multiplies average purchase value by the number of repeat purchases over a typical customer’s lifespan. This method offers a quick snapshot but may overlook deeper nuances like fluctuating purchase behaviors or changing profit margins.
- Advanced Calculation: More sophisticated models factor in acquisition costs (CAC), discount rates (to account for future cash flow), and time-based purchasing patterns. This provides a more accurate customer lifetime value calculation but requires robust data and more complex modeling.
A Simple Customer Lifetime Value Formula
Below is a simplified example of a lifetime value formula you can use to estimate customer lifetime calculation. This approach is especially handy for businesses just getting started with CLV tracking:
Step-by-Step Guide
- Average Order Value (AOV): Calculate the typical revenue generated per transaction. For instance, if your customers spend $50 on average per purchase, your AOV is $50.
- Purchase Frequency: Determine how many times the average customer buys from you in a year (e.g., twice a month = 24 times annually).
- Average Customer Lifespan: Estimate how many years a customer continues to purchase. This could be two, five, or even ten years, depending on your industry and retention efforts.
- Multiply: Combine these factors to get a baseline figure for CLV.
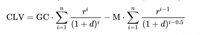
An Advanced Customer Lifetime Value Equation
If you’re looking for deeper insights, consider incorporating profit margin and discount rates. A more robust customer life time value formula might look like this:
While this model requires more data and financial understanding, it delivers a precise perspective on the customer lifecycle value by factoring in profit rather than just revenue.
How to Increase Your CLV
- Enhance Customer Experience: Personalized service, quick resolutions, and relevant product recommendations can inspire customers to stick around longer.
- Loyalty and Retention Programs: Offer perks, such as exclusive discounts or early access to new products, to keep repeat business high.
- Regular Communications: Consistent email marketing, social media engagement, or SMS campaigns encourage ongoing interaction and boost retention.
- Upselling and Cross-Selling: Suggest complementary products or premium upgrades to raise each customer’s average order value
Final Thoughts
Understanding customer lifetime value goes beyond a simple metric—it’s a strategic lens through which you can assess your entire business model.
By identifying the life time value of customers, you gain a roadmap to better allocate budgets, improve marketing tactics, and refine product offerings.
Whether you stick to a basic customer lifetime value formula or dive into advanced modeling, consistently revisiting your CLV calculations ensures you stay aligned with changing consumer behaviors and market trends.
Remember, customer lifetime value calculation is an ongoing process. As your business evolves—launching new products, entering different markets, or shifting your brand positioning—be sure to update your CLV formula regularly.
In doing so, you’ll maintain a clear picture of how much you can afford to invest in acquisition and retention, ultimately creating a stable, profitable foundation for future growth.
About The Author:
David is a creative director and marketing professional with a wealth of expertise in marketing strategy, branding strategy and growing businesses. He is a founding partner of a branding and marketing agency based in New York and has a Bachelors Degree in Communication from UWE.
Over David’s 25+ year career in the the world of branding and marketing, he has worked on strategy projects for companies like Coca-Cola, Intercontinental Hotels, AMC Theaters, LEGO, Intuit and The American Cancer Society.
David has also published over 250 articles on topics related to marketing strategy, branding Identity, entrepreneurship and business management.
You can follow David’s writing over at medium.com: medium.com/@dplayer
